首页  |  市委  |  市人大 市政府  |  市政协  |  市纪委
一份感谢,一份鼓励
来源: | 作者:亳州公交 | 发布时间: 2023-12-06 | 2625 次浏览 | 🔊 点击朗读正文 ❚❚ | 分享到:


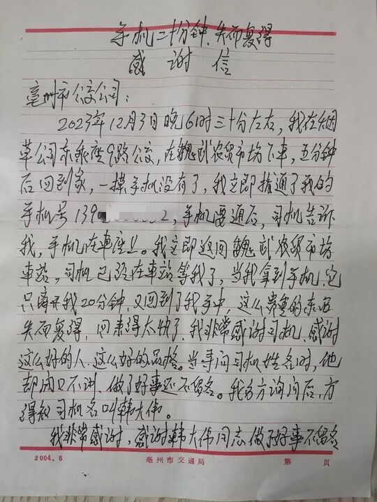
    12月3日晚上,一名老人从烟草公司乘坐9路公交车到家后发现手机落在公交车上了,老人立即拨打自己的电话,看是否有人捡到。驾驶员接通电话,恰巧她也在寻找失主,并在约定地点将手机归还给了失主。

   

  从手机丢失到拿回,仅仅用了二十分钟,为表示感谢老人给驾驶员韩大伟写了封感谢信。这不仅是对公交驾驶员的肯定与鼓励,也是对公交公司的认可。


图片
图片



地址:安徽省亳州市谯城区1289号市交通运输局旁交通综合大楼5楼

电话/传真:0558-5278266

服务热线 :96166

邮政编号 : 236800